Trista Lace (96 photos)
Young bbw fuck
Sensational Video Presents Plumperpass Trista Lace
Beautiful bbws Spreading Pussy, photo album Bigstevo88 - XVI
Sensational Video Presents Plumperpass Trista Lace
Seven Anol Esh Egit Sex
Sensational Video Presents Plumperpass Trista Lace
Negro fucks
Trista a Pornovideo with her participation
Charming Trista Naked priest
Aliases: Anita, Eva, Eva X, Eva Zan, Jana, Lena, Lindsey, Trista
Trista a Pornovideo with her participation XXX
Adelina Sotnikova is naked
Trista Solo
Naked model trista a legs
Beautiful naked pussies in stockings
RYLSKYART 2013 Erotic photo
Persia monir naked and in underwear
Trista a Pornovideo with her participation
Trista a Pornovideo with her participation
Trista Nude in Lonely Beauty - Free Als Scan Picture Gallery xxx
Trista a in Soleta Picture 13 Candy pleasure naked
Beautiful pussy in lace
Megan Fox Stockings
Girl with a broken heart
MSI 865GVM2-LS motherboard
Poziy Pentra copies de 3 an
Philological Virgin Mem
Hit piggy bank table
Every woman should have a highlight
Calendar for records
Zhirinovsky scum
Areometer testimony table AS-3
Revenues of Russians in 2021 Statistics
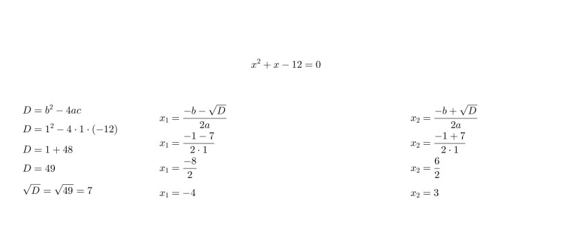
X -2 degrees + X in the second degree
Song We love you your native faces text

Drawn person with fak
Lunar fishing calendar for 2022
Flexible girls naked
Fuck of very full women
Danea trista a in red stockings
A beautiful whore undressed
Large numbers
I will not shave until it comes out
Trista a Pornovideo with her participation
Lizzie Ryan, Avia, Lizzie, Morgane, Avia A, Luci, Moricka, Karla, Lizzy Pussy Nude
Violet abstraction art
Tasks in mathematics grade 8
Met Art Mirabel Trista Masturbation Pictures
Prefix von in German surnames
Rusty and head

Naked model trista a legs
Julia Viktorovna Serdyukova 1970
Masha plus XXX Masha plus 18
The girl is looking
Russian patterns for drawing
Trista Nude in Lonely Beauty - Free Als Scan Picture Gallery xxx
Welcome to hell 1994
Photo Trista a. in soleta naked
Charming Trista Naked
Violet cloud
Trista Atrista a Naked Model on Red Velvet

Monthly payment
Poems about a woman cool
Slime Taoshite 300-Nen, Shiranai Uchi Ni Level Max Ni
Heoper Pyramid Hufu in Giza
Mass graves in the Voronezh region lists

Classes and categories table grade 4 mathematics
Let every day bring joy and happiness

Trista Lace (96 photos)
0
Share on social networks:
Commentary:

